[Show all top banners]
Back to: Kurakani General Refresh page to view new replies
 Muktak
[VIEWED 7736 TIMES]
SAVE! for ease of future access.
Posted on 05-12-05 10:48 AM     Reply [Subscribe]
Login in to Rate this Post:     0       ?    
 
 
Posted on 05-12-05 11:22 AM     Reply [Subscribe]
Login in to Rate this Post:     0       ?    
 

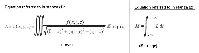
Mathematician in Love !


1
----------------------------------------------------
Let "x" = beauty, "y" = manners well-bred,
let "z" = fortune (this is obligatory).
Let "L" = love, then our philosopher said,
L is a function of x, y, and z-
Of the kind which is known as Potential !

2
----------------------------------------------------
Now integrate L with respect to dt,
("t" standing for time and persuation).
Then between proper limits, its easy to see,
the definite integral "Marriage" must be-
A very consise Demonstration !

3
-----------------------------------------------------
Said he- if the wandering course of the moon,
by Algebra can be predicted.
The female affections must yield to it soon,
but the lady ran off with a dashing dragoon-
And left him amazed and afflicted !

Note:- The mathematical expressions of "love" and "marriage" please refer below.

maafia



 
Posted on 05-12-05 8:58 PM     Reply [Subscribe]
Login in to Rate this Post:     0       ?    
 

Love ko Mathmatics,
केटोले कुरो त ल्याको हो।
 
Posted on 05-13-05 1:31 AM     Reply [Subscribe]
Login in to Rate this Post:     0       ?    
 

म त हिसाबमा कमजोर, प्रेम र बिहेको हिसाब त ठ्याम्मै बुझिन हो!!!!!
 
Posted on 05-13-05 7:50 AM     Reply [Subscribe]
Login in to Rate this Post:     0       ?    
 

Hisab nabujhe 'nasha' ta kaso nabujhiyela?

 
Posted on 05-13-05 7:55 AM     Reply [Subscribe]
Login in to Rate this Post:     0       ?    
 

Wah wah.... Addab arjj hein bhanya jasto bho.

But I could not get that equation. Kalo achar bhais bara baar.
Better still, Gaanit = Gool aka SUNNA.

"Thukrawooo ke muje pyaaar karoooo, Mein nashe mein huuu
Jo chahe mere yaara karooo mein nashe mein huuu."

Yeh dil Mange more.

IndisGuise:)


 
Posted on 05-13-05 8:13 AM     Reply [Subscribe]
Login in to Rate this Post:     0       ?    
 

?झरेको फुल हौ तीमी
पबित्र मन्?दिरमा चढाउने कोसिस नगर
अरिन्?गालले चुसेको रस हौ तिमी
निर्?दोस माहुरी लाइ झुक्?काउने कोशिष नगर

 
Posted on 05-13-05 8:18 AM     Reply [Subscribe]
Login in to Rate this Post:     0       ?    
 

No offence to anyone, it is just a MUKTAK
 


Please Log in! to be able to reply! If you don't have a login, please register here.

YOU CAN ALSO



IN ORDER TO POST!




Within last 60 days
Recommended Popular Threads Controvertial Threads
Democrat wants to run election like in India. Chaos and Confusing to voters.
ए १ पनि पुगेनछ ?
नोबेल शान्ति पुरस्कार र अशान्त राष्ट्रपतिको बालहठ
200 denaturalization cases per month to the Department of Justice for the 2026 fiscal year.
Breaking News: Ninth Circuit Rejects Government Bid to Undo Nepal TPS Order, Leaves Protections in Place
Funny when Nepalis talk about Epstein and injustice
मिरो प्रेडिक्शन जन्मेर एमेरिकामा आखा खो ल न पायेका नागरिकता बारे
नेपाली वालमार्ट चोर
मानसिक सन्तुलन, एक कहालीलाग्दो घटना सिक्नुपर्ने कुराहरु
When will Nepali women be equal?
Why Prachanda seems to be the smartest of them all?
When will the culture of impunity end?
बालेंन आए पछि आशाका किरण देखिन थालेका छन् !!
नेपाली ससुरोले वर्जीनियामाँ आफ़नो छोरी नाती र ज्वाईलाई खुकुरी प्रहार
Can we really get rid of Nepotism in the government?
बालेंन मेयर बाट प्रधान मन्त्रि हुने भो ?
आरको नेपालीले बेजत गर्यो फेरी अरविंग टेक्सासमा बुढ़ाहरू लाई स्कॉम गरेर
Sukulgunda 2.0 / www.sukulgunda.com
How many ministries do we really need?
NOTE: The opinions here represent the opinions of the individual posters, and not of Sajha.com. It is not possible for sajha.com to monitor all the postings, since sajha.com merely seeks to provide a cyber location for discussing ideas and concerns related to Nepal and the Nepalis. Please send an email to admin@sajha.com using a valid email address if you want any posting to be considered for deletion. Your request will be handled on a one to one basis. Sajha.com is a service please don't abuse it. - Thanks.

Sajha.com Privacy Policy

Like us in Facebook!

↑ Back to Top
free counters